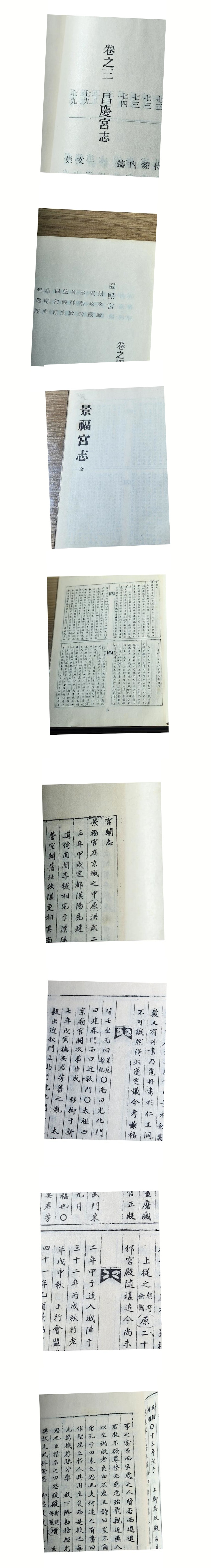
1957년 초판(영인본) 궁궐지(宮闕志)...5권완질

연장경매 대상 마감 전 1분 이내 입찰 시 3분 연장 (최초 1회 한정) 공유 신고

확대보기 확대보기     |     돋보기 돋보기

해당 판매자의 평균 배송기간은 1일 이내입니다.
배송기간은 주말/공휴일을 제외한 영업일 기준

2주 전 월요일 ~ 일요일까지 입금완료일부터 배송완료일까지의 평균 소요 일수를 기준으로 합니다.
배송완료 건이 비정상 거래로 판단되는 경우, 집계 대상에서 제외될 수 있습니다.

현재가
남은시간

(2025년 10월 22일 21:40:26)

경매번호 2510YYTBZRA
입찰기록 [기록보기]
입찰단위 5,000원
희망 입찰가
예상 구매가

( + 구매수수료 )

물품 크기 21.5/14.5
제조국 한국 연대 1945년~1959년

171페이지/ 낙장 파장없이 완벽

1/구왕궁 사무국 소장본

2/서울대 박물관 소장본


이 궁궐지는 대체로 순조때 제작하기 시작해

순조이후 간행된걸로 이책의 해제에 나와 있습니다

이 영인본은 서울대본과 구왕궁 사무국 장본을

절충해서 만들었다네요

이 영인본은 그냥의 영인본이 아니라

일종의 역사성까지 갖춘

의미있는 영인본이라고 생각합니다

  • 번호
  • 질문구분
  • 제목
  • 등록자
  • 등록일
반품시 주의사항
아래 각호의 경우에는 반품이 되지 않습니다.
1) 소비자의 책임 있는 사유로 상품 등이 멸실 / 훼손된 경우(단지 확인을 위한 포장 훼손 제외)
2) 소비자의 사용 / 소비에 의해 상품 등의 가치가 현저히 감소한 경우
3) 시간의 경과에 의해 재판매가 곤란할 정도로 상품 등의 가치가 현저히 감소한 경우
4) 복제가 가능한 상품 등의 포장을 훼손한 경우
5) 판매 / 생산방식의 특성상, 반품 시 판매자 에게 회복할 수 없는 손해가 발생하는 경우(주문접수 후 개별생산, 맞춤 제작 등)
※ 전자상거래 등에서의 소비자보호에 관한 법률 알아보기
파손물품 반품시 주의사항
물품 수령시 택배기사와 함께 물품의 파손여부를 확인하신 후,
반품 신청시 파손이미지를 등록해 주시면 안전하고 신속하게 환불처리를 해드리고 있습니다.

영수증발행 : 온라인현금영수증(소득공제용 / 지출증빙용)

영수증신청 : 수령확인시에 개인소득공제용 또는 사업자회원님의 지출증빙용(세금계산서대체)으로 신청하실 수 있습니다.

판매자 정보

판매자 정보
판매자 ID 12345 사업자구분 면세사업자 대표자 이**
상호 u********* 사업자등록번호 317******* 통신판매업신고 청주2007-52호
전화번호 011********* email lu****************
영업소재지 충북 청주시 상당구 내덕2동 ************************************

코베이옥션은 구매안전서비스를 적용하고 있습니다. 서비스 가입사실 확인

마이페이지

 로그인

로그인 하시면 다양한 정보를 확인할 수 있습니다.

회원가입 로그인